EN
产业资讯 政策法规 研发追踪 医改专题
2023Q3 FDA批准的小分子药物的设计思路
产业资讯 同写意Biotech 2023-10-17 2819

FDAQ3批准上市了14个药物,其中6个小分子药物,本文主要聚焦小分子药物的药物设计思路,希望给广大小分子药物领域的科研人员提供设计灵感启发。

1

7/20/2023

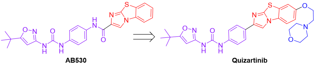
Vanflyta (quizartinib)

基本信息

Quizartinib是由日本第一三共开发的第二代FLT3激酶小分子抑制剂,用于治疗FLT3-ITD突变的急性髓系白血病(AML)成人患者[1]。Quizartinib及其主要活性代谢物AC886(甲基变成羟甲基)以low nM亲和力与FLT3的ATP口袋结合,对FLT3-ITD突变体的活性比wt FLT3高10倍。此前已有第一代FLT3小分子抑制剂上市,但它们大多对FLT3激酶的选择性一般。

在美国,预计2023年将新增20,380AML患者,其中高达37%的新诊断AML具有FLT3突变(约80%是FLT3-ITD突变)。这些突变会往往导致不利的预后,包括复发风险增加和总生存期缩短。据报道,FLT3-ITD AML患者的五年生存率约为20%。

分子设计思路

首先通过KinomeScan(Ambit Biosciences公司开发的激酶筛选平台,用于评估小分子与大量激酶活性位点的结合亲和力)对以小型激酶为中心的文库进行分析,得到二芳基脲骨架,简单的苯环取代基SAR后得到活性和选择性都很好(Kd = 1.6 nM)的lead分子AB530。但在较高剂量时,AB530的水溶性和口服PK还需要优化。引入增溶基团并去掉酰胺linker后得到上市药物Quizartinib[2]。

图1. Quizartinib的药物设计

2

7/25/2023

Xdemvy (lotilaner)

基本信息

lotilaner是由Tarsus Pharma开发的一种外寄生虫杀剂滴眼液,用于治疗蠕形螨睑缘炎。lotilaner是一款对螨虫具有高度选择性的γ-氨基丁酸(GABA)门控氯离子通道抑制剂,会导致目标生物体产生麻痹作用并最终死亡[1]。lotilaner具有很好的选择性,不会抑制哺乳动物的GABA氯离子通道。Lotilaner此前曾作为抗寄生虫的兽药(杀虫剂)上市。

蠕形螨性睑缘炎由蠕形螨(人体皮肤上最常见的体外寄生虫)感染引起,美国的患者约有2500万。蠕形螨性睑缘炎的特征是发红、炎症、睫毛缺失或错位、沿眼睑基部水平瘙痒。

分子设计思路

Lotilaner显然是从此前报道的杀虫剂简单优化得到的[3]。

图2. Lotilaner的药物设计

3

8/4/2023

Zurzuvae (zuranolone)

基本信息

Zuranolone是由Sage Therapeutics和Biogen共同开发的有神经活性的γ-氨基丁酸A受体(GABA-A)的类固醇正别构调节剂,用于治疗成人产后抑郁症(PPD)。Zuranolone是第一种用于治疗成人产后抑郁症的口服药物。产后抑郁症是怀孕期间和怀孕后最常见的并发症之一。据估计1/8的女性会出现产后抑郁症症状。如果没有适当的筛查,可能一半的PPD病例无法确诊,且只有15.8%的女性患者接受了治疗[1]。

分子设计思路

Zuranolone是作为静脉注射神经类固醇brexanolone(也称Allopregnanolone,是一种内源神经类固醇)的改进而开发的,通过去掉C-19、引入吡唑和吸电子氰基,提高了口服生物利用度和入脑渗透性,显著改善了PK。Zuranolone具有适合每日一次给药的生物半衰期(约为16-23小时),而brexanolone的半衰期约为9小时[4]。

图3. Zuranolone的药物设计

4

8/16/2023

Sohonos (palovarotene)

基本信息

Sohonos是由Ipsen开发的一种口服生物可利用的视黄酸γ(Retinoic acid receptor gamma, RAR-γ)受体激动剂,用于减少FOP(进行性骨化性纤维发育不良,俗称“石头人症”)患者的新异位骨化体积[1]。FOP患者的骨形成异常,是由骨形态发生蛋白(BMP)I 型受体ALK2的功能获得性突变驱动的。Sohonos对RAR-γ具有特殊选择性。通过与RAR-γ结合,Sohonos抑制SMAD1/5/8的磷酸化来减少BMP/ALK2下游信号通路,从而减少ALK2/SMAD依赖性软骨形成和骨细胞分化。进行性骨化性纤维发育不良是一种罕见的常染色体显性遗传疾病,全球只有约900名患者。患者的肌肉、肌腱和韧带等结缔组织逐渐转变为骨组织,导致运动受限、畸形和严重残疾。Sohonos最早由Roche研发,用于治疗COPD肺气肿。此前已被FDA和EMA合计拒绝三次。

分子设计思路

没找到palovarotene的药物发现文章。但笔者发现pan-RAR激动剂TTNPBpalovarotene结构相似,都是视黄酸的conformationally restricted类似物。palovarotene应该是在TTNPB的结构基础上优化RAR-γ选择性得到的[5]。

图4. palovarotene的药物设计

5

9/15/2023

Ojjaara (momelotinib)

基本信息

Momelotinib是由GSK开发的口服JAK1/JAK2、ACVR1抑制剂,用于治疗中高危骨髓纤维化,是唯一用于新诊断和既往治疗的骨髓纤维化的药物骨髓纤维化是一种罕见的血液肿瘤,由JAK信号转导器和转录蛋白信号激活剂失调引起,其特征为全身症状、脾肿大和进行性贫血。在美国,骨髓纤维化影响着约25,000名患者[1]。

分子设计思路

针对分离的JAK2酶和JAK2依赖性工程细胞系(Baf3TEL-JAK2)筛选Cytopia的内部激酶化合物库,鉴定出几个亚微摩尔的N -(4-吗啉代苯基)-4-芳基嘧啶-2-胺类hit。虽然有对接结构,但根据文章的优化思路,并没有涉及太多SBDD的内容,更多是根据药化经验进行SAR。研究人员对嘧啶的取代基进行SAR优化活性和口服利用度得到Momelotinib[6]。

图5. Momelotinib的药物设计

图6. FDA批准的JAK抑制剂

6

9/22/2023

Exxua (gepirone)

基本信息

Gepirone是由Fabre-Kramer公司开发的first-in-class的口服5HT1A受体选择性激动剂,用于治疗成人重度抑郁症(major depressive disorder, MDD)。Gepirone的抗抑郁机制被认为与其5HT1A受体选择性激动剂活性有关。该药物曾于2004、2007和2015年向FDA提交申请,但因缺乏实质性有效性证据而未获批准。在COVID-19之前,美国每年有超过2000万成年人经历重度抑郁症[1]。

分子设计思路

Gepirone最早由BMS于1986年研发,是1986年的上市药物Buspirone(丁螺环酮)的结构类似物,同属于Azapirone drug class。但Buspirone是α2-肾上腺素能受体拮抗剂,用于治疗广泛性焦虑症;Gepirone则是5HT1A受体的选择性激动剂,用于治疗成人重度抑郁症。Buspirone的半衰期较短(2-3小时),因此需要BID或TID给药;而Gepirone的口服生物利用度为14%-17%,只需每日一次。二者的活性代谢物都是1-pyrimidinylpiperazine(1-PP),是α2受体拮抗剂[7]。

图7. 分别Buspirone、Gepirone及其活性代谢物1-PP的分子结构

参考文献:

[1]https://www.fda.gov/drugs/new-drugs-fda-cders-new-molecular-entities-and-new-therapeutic-biological-products/novel-drug-approvals-2023

[2] J. Med. Chem. 2009, 52, 7808–7816

[3] Bioorganic & Medicinal Chemistry 2021, 30, 115934

[4] J. Med. Chem. 2017, 60, 7810–7819

[5] Nat. Med. 2011, 17, 454–460.

[6] Bioorg. Med. Chem. Lett. 2009, 19, 5887–5892.

[7]https://en.wikipedia.org/wiki/Gepirone

您可能感兴趣
8家创新药公司完成新一轮融资!
8家创新药公司完成新一轮融资!
产业资讯 医药观澜 2025-12-16 17
暴涨四倍!歌礼悄悄翻盘
暴涨四倍!歌礼悄悄翻盘
产业资讯 药智网 2025-12-16 17
体重反弹,如何控制?
体重反弹,如何控制?
产业资讯 财经大健康 2025-12-16 15